This appendix provides a reference for the statistical distributions used in hypothesis testing. While Chapter 50 covers probability distributions for modeling data, this appendix focuses on sampling distributions—the theoretical distributions that test statistics follow under the null hypothesis.
51.1 Why Sampling Distributions Matter
When we conduct a hypothesis test, we calculate a test statistic from our sample data. To determine whether this statistic is “unusual,” we need to know what values to expect if the null hypothesis were true. The sampling distribution tells us exactly this—it’s the distribution of the test statistic across all possible samples.
Code
# Demonstrate: sampling distribution of the meanset.seed(42)population <-rnorm(100000, mean =100, sd =15)# Take many samples and compute meanssample_means <-replicate(5000, mean(sample(population, 30)))hist(sample_means, breaks =40, col ="lightblue",main ="Sampling Distribution of the Mean",xlab ="Sample Mean (n = 30)",probability =TRUE)# Overlay theoretical normalx <-seq(min(sample_means), max(sample_means), length.out =100)lines(x, dnorm(x, mean =100, sd =15/sqrt(30)), col ="red", lwd =2)legend("topright",legend =c("Simulated", "Theoretical"),fill =c("lightblue", NA),border =c("black", NA),lty =c(NA, 1), lwd =c(NA, 2),col =c(NA, "red"))
Figure 51.1: Sampling distribution of the mean based on 5000 samples of size 30, showing close agreement with the theoretical normal distribution
51.2 The Standard Normal (Z) Distribution
When It’s Used
The standard normal distribution is used when:
Testing means with known population variance
Large samples (n > 30) where CLT applies
Testing proportions with large samples
The Distribution
\[Z = \frac{\bar{X} - \mu}{\sigma / \sqrt{n}}\]
Under \(H_0\), \(Z \sim N(0, 1)\)
Code
x <-seq(-4, 4, length.out =200)y <-dnorm(x)plot(x, y, type ="l", lwd =2,xlab ="z", ylab ="Density",main ="Standard Normal Distribution")# Shade rejection regions (two-tailed, α = 0.05)x_left <-seq(-4, -1.96, length.out =50)x_right <-seq(1.96, 4, length.out =50)polygon(c(-4, x_left, -1.96), c(0, dnorm(x_left), 0),col =rgb(1, 0, 0, 0.3), border =NA)polygon(c(1.96, x_right, 4), c(0, dnorm(x_right), 0),col =rgb(1, 0, 0, 0.3), border =NA)abline(v =c(-1.96, 1.96), lty =2, col ="red")text(0, 0.15, "95%\nAcceptance\nRegion", cex =0.9)text(-2.8, 0.05, "2.5%", col ="red")text(2.8, 0.05, "2.5%", col ="red")
Figure 51.2: Standard normal distribution with rejection regions for a two-tailed test at α = 0.05
Critical Values
Confidence Level
Two-tailed α
Critical Z
90%
0.10
±1.645
95%
0.05
±1.960
99%
0.01
±2.576
Code
# R functions for Z distributionqnorm(0.975) # 97.5th percentile (for two-tailed 95% CI)
[1] 1.959964
Code
pnorm(1.96) # Probability below z = 1.96
[1] 0.9750021
51.3 Student’s t-Distribution
When It’s Used
The t-distribution is used when:
Testing means with unknown population variance (estimated from sample)
Comparing two means (two-sample t-test)
Testing regression coefficients
Small to moderate sample sizes
The Distribution
\[t = \frac{\bar{X} - \mu}{s / \sqrt{n}}\]
Under \(H_0\), \(t \sim t_{df}\) where \(df = n - 1\) for one-sample tests.
Effect of Degrees of Freedom
The t-distribution has heavier tails than the normal, reflecting additional uncertainty from estimating variance. As df increases, t approaches normal:
Code
x <-seq(-4, 4, length.out =200)plot(x, dnorm(x), type ="l", lwd =2, col ="black",xlab ="t", ylab ="Density",main ="t-Distribution: Effect of Degrees of Freedom")lines(x, dt(x, df =3), lwd =2, col ="red")lines(x, dt(x, df =10), lwd =2, col ="blue")lines(x, dt(x, df =30), lwd =2, col ="darkgreen")legend("topright",legend =c("Normal (df = ∞)", "t (df = 3)", "t (df = 10)", "t (df = 30)"),col =c("black", "red", "blue", "darkgreen"),lwd =2)
Figure 51.3: t-distribution for different degrees of freedom showing convergence to the normal distribution as df increases
Notice how df = 3 has much heavier tails (more extreme values expected), while df = 30 is nearly indistinguishable from the normal.
# F distribution functionsqf(0.95, df1 =3, df2 =20) # Critical F for ANOVA
[1] 3.098391
Code
1-pf(3.5, df1 =3, df2 =20) # p-value for F = 3.5
[1] 0.0344931
51.6 Relationships Between Distributions
These distributions are mathematically related:
Figure 51.8: Mathematical relationships between the normal, chi-square, t, and F distributions
Key relationships:
t² = F(1, df): A squared t-statistic follows an F distribution with 1 numerator df
χ² → Normal: As df increases, chi-square approaches normality
t → Z: As df → ∞, t-distribution becomes standard normal
F(1, ∞) = χ²(1): Limiting case of F distribution
51.7 Choosing the Right Distribution
Test
Distribution
Degrees of Freedom
Z-test (known σ)
Normal
N/A
One-sample t-test
t
n - 1
Two-sample t-test
t
n₁ + n₂ - 2 (pooled)
Paired t-test
t
n - 1
Chi-square GOF
χ²
k - 1
Chi-square independence
χ²
(r-1)(c-1)
One-way ANOVA
F
k-1, N-k
Regression F-test
F
p, n-p-1
Regression coefficient
t
n - p - 1
where k = number of groups/categories, n = sample size, p = number of predictors
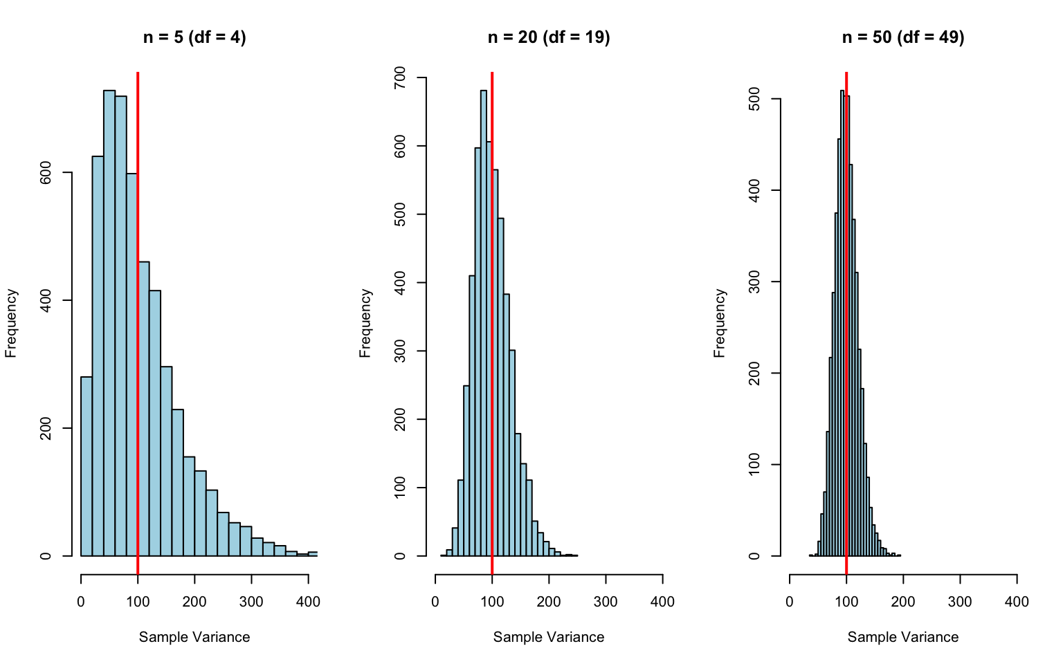
51.8 Degrees of Freedom: Intuition
Degrees of freedom represent the number of independent pieces of information available for estimation. They decrease when we estimate parameters from the data:
# Demonstration: Why df matters# Sampling distribution of sample variance with different nset.seed(42)true_variance <-100simulate_s2 <-function(n, reps =5000) {replicate(reps, var(rnorm(n, mean =0, sd =10)))}s2_small <-simulate_s2(5) # df = 4s2_medium <-simulate_s2(20) # df = 19s2_large <-simulate_s2(50) # df = 49par(mfrow =c(1, 3))hist(s2_small, breaks =30, main ="n = 5 (df = 4)",xlab ="Sample Variance", col ="lightblue", xlim =c(0, 400))abline(v =100, col ="red", lwd =2)hist(s2_medium, breaks =30, main ="n = 20 (df = 19)",xlab ="Sample Variance", col ="lightblue", xlim =c(0, 400))abline(v =100, col ="red", lwd =2)hist(s2_large, breaks =30, main ="n = 50 (df = 49)",xlab ="Sample Variance", col ="lightblue", xlim =c(0, 400))abline(v =100, col ="red", lwd =2)
Figure 51.9: Sampling distributions of sample variance for different sample sizes, showing increased precision with higher degrees of freedom
With more degrees of freedom: - Variance estimates are more precise (narrower distribution) - More likely to be close to the true value - Critical values move closer to their limiting values
51.9 Summary
Distribution
Parameters
Mean
Use For
Normal (Z)
None
0
Means (known σ), proportions
t
df
0
Means (unknown σ), regression
Chi-square
df
df
Frequencies, variance, GOF
F
df₁, df₂
df₂/(df₂-2)
ANOVA, comparing variances
Remember: - More data (higher df) → distributions approach their limits - The t approaches Z, χ² becomes symmetric, F becomes more peaked - Heavier tails in t and F require larger critical values for small df - These distributions assume normality of underlying data (robustness varies)
# Sampling Distributions in Hypothesis Testing {#sec-sampling-distributions}```{r}#| echo: false#| message: falselibrary(tidyverse)theme_set(theme_minimal())```This appendix provides a reference for the statistical distributions used in hypothesis testing. While @sec-probability-distributions covers probability distributions for modeling data, this appendix focuses on **sampling distributions**—the theoretical distributions that test statistics follow under the null hypothesis.## Why Sampling Distributions MatterWhen we conduct a hypothesis test, we calculate a test statistic from our sample data. To determine whether this statistic is "unusual," we need to know what values to expect if the null hypothesis were true. The **sampling distribution** tells us exactly this—it's the distribution of the test statistic across all possible samples.```{r}#| label: fig-sampling-dist-mean#| fig-cap: "Sampling distribution of the mean based on 5000 samples of size 30, showing close agreement with the theoretical normal distribution"#| fig-width: 8#| fig-height: 5# Demonstrate: sampling distribution of the meanset.seed(42)population <-rnorm(100000, mean =100, sd =15)# Take many samples and compute meanssample_means <-replicate(5000, mean(sample(population, 30)))hist(sample_means, breaks =40, col ="lightblue",main ="Sampling Distribution of the Mean",xlab ="Sample Mean (n = 30)",probability =TRUE)# Overlay theoretical normalx <-seq(min(sample_means), max(sample_means), length.out =100)lines(x, dnorm(x, mean =100, sd =15/sqrt(30)), col ="red", lwd =2)legend("topright",legend =c("Simulated", "Theoretical"),fill =c("lightblue", NA),border =c("black", NA),lty =c(NA, 1), lwd =c(NA, 2),col =c(NA, "red"))```## The Standard Normal (Z) Distribution### When It's UsedThe standard normal distribution is used when:- Testing means with **known** population variance- Large samples (n > 30) where CLT applies- Testing proportions with large samples### The Distribution$$Z = \frac{\bar{X} - \mu}{\sigma / \sqrt{n}}$$Under $H_0$, $Z \sim N(0, 1)$```{r}#| label: fig-sampling-z-rejection#| fig-cap: "Standard normal distribution with rejection regions for a two-tailed test at α = 0.05"#| fig-width: 7#| fig-height: 5x <-seq(-4, 4, length.out =200)y <-dnorm(x)plot(x, y, type ="l", lwd =2,xlab ="z", ylab ="Density",main ="Standard Normal Distribution")# Shade rejection regions (two-tailed, α = 0.05)x_left <-seq(-4, -1.96, length.out =50)x_right <-seq(1.96, 4, length.out =50)polygon(c(-4, x_left, -1.96), c(0, dnorm(x_left), 0),col =rgb(1, 0, 0, 0.3), border =NA)polygon(c(1.96, x_right, 4), c(0, dnorm(x_right), 0),col =rgb(1, 0, 0, 0.3), border =NA)abline(v =c(-1.96, 1.96), lty =2, col ="red")text(0, 0.15, "95%\nAcceptance\nRegion", cex =0.9)text(-2.8, 0.05, "2.5%", col ="red")text(2.8, 0.05, "2.5%", col ="red")```### Critical Values| Confidence Level | Two-tailed α | Critical Z ||:-----------------|:-------------|:-----------|| 90% | 0.10 | ±1.645 || 95% | 0.05 | ±1.960 || 99% | 0.01 | ±2.576 |```{r}# R functions for Z distributionqnorm(0.975) # 97.5th percentile (for two-tailed 95% CI)pnorm(1.96) # Probability below z = 1.96```## Student's t-Distribution### When It's UsedThe t-distribution is used when:- Testing means with **unknown** population variance (estimated from sample)- Comparing two means (two-sample t-test)- Testing regression coefficients- Small to moderate sample sizes### The Distribution$$t = \frac{\bar{X} - \mu}{s / \sqrt{n}}$$Under $H_0$, $t \sim t_{df}$ where $df = n - 1$ for one-sample tests.### Effect of Degrees of FreedomThe t-distribution has heavier tails than the normal, reflecting additional uncertainty from estimating variance. As df increases, t approaches normal:```{r}#| label: fig-sampling-t-df#| fig-cap: "t-distribution for different degrees of freedom showing convergence to the normal distribution as df increases"#| fig-width: 8#| fig-height: 6x <-seq(-4, 4, length.out =200)plot(x, dnorm(x), type ="l", lwd =2, col ="black",xlab ="t", ylab ="Density",main ="t-Distribution: Effect of Degrees of Freedom")lines(x, dt(x, df =3), lwd =2, col ="red")lines(x, dt(x, df =10), lwd =2, col ="blue")lines(x, dt(x, df =30), lwd =2, col ="darkgreen")legend("topright",legend =c("Normal (df = ∞)", "t (df = 3)", "t (df = 10)", "t (df = 30)"),col =c("black", "red", "blue", "darkgreen"),lwd =2)```Notice how df = 3 has much heavier tails (more extreme values expected), while df = 30 is nearly indistinguishable from the normal.### Critical Values Change with df```{r}# Critical t-values for 95% CI (two-tailed)dfs <-c(5, 10, 20, 30, 50, 100, Inf)t_crits <-qt(0.975, df = dfs)data.frame(df = dfs,critical_t =round(t_crits, 3))```### Practical Implications```{r}#| label: fig-sampling-t-sample-size#| fig-cap: "Critical t-values decrease as sample size increases, approaching the Z critical value of 1.96"#| fig-width: 8#| fig-height: 4# How confidence interval width depends on sample sizen_values <-seq(5, 100, by =5)ci_multipliers <-qt(0.975, df = n_values -1)plot(n_values, ci_multipliers, type ="b", pch =19, col ="blue",xlab ="Sample Size (n)", ylab ="t Critical Value (α = 0.05)",main ="Why Larger Samples Give Narrower CIs")abline(h =1.96, lty =2, col ="red")text(80, 2.05, "Z = 1.96 (infinite df)", col ="red")```With small samples, we need a larger critical value to achieve the same confidence level, making confidence intervals wider.### R Functions```{r}# t-distribution functionsqt(0.975, df =10) # Critical value for 95% CI with df = 10pt(2.228, df =10) # Probability below t = 2.228dt(0, df =10) # Density at t = 0```## Chi-Square (χ²) Distribution### When It's UsedThe chi-square distribution is used for:- Goodness of fit tests (observed vs. expected frequencies)- Tests of independence (contingency tables)- Testing variance (one population)- Model fit in regression (deviance tests)### The DistributionThe chi-square distribution is the sum of squared standard normal variables:$$\chi^2 = \sum_{i=1}^{k} Z_i^2$$The distribution is always positive and right-skewed. As df increases, it becomes more symmetric and approaches normality.```{r}#| label: fig-sampling-chisq#| fig-cap: "Chi-square distribution for different degrees of freedom showing increasing symmetry with higher df"#| fig-width: 8#| fig-height: 5x <-seq(0, 30, length.out =200)plot(x, dchisq(x, df =2), type ="l", lwd =2, col ="red",xlab =expression(chi^2), ylab ="Density",main =expression(paste(chi^2, " Distribution")),ylim =c(0, 0.3))lines(x, dchisq(x, df =5), lwd =2, col ="blue")lines(x, dchisq(x, df =10), lwd =2, col ="darkgreen")lines(x, dchisq(x, df =20), lwd =2, col ="purple")legend("topright",legend =c("df = 2", "df = 5", "df = 10", "df = 20"),col =c("red", "blue", "darkgreen", "purple"),lwd =2)```### Properties- **Mean**: $E[\chi^2] = df$- **Variance**: $Var(\chi^2) = 2 \times df$- Always positive (sums of squares)- Right-skewed, especially for small df### Critical Values for Common Tests```{r}# Chi-square critical values (right-tail, α = 0.05)dfs <-c(1, 2, 3, 5, 10, 20)chi_crits <-qchisq(0.95, df = dfs)data.frame(df = dfs,critical_chi_sq =round(chi_crits, 3),mean = dfs # Note: critical value is close to df + 2*sqrt(2*df))```### R Functions```{r}# Chi-square distribution functionsqchisq(0.95, df =5) # Critical value (right-tail α = 0.05)1-pchisq(11.07, df =5) # p-value for chi-square = 11.07dchisq(5, df =5) # Density at chi-square = 5```## F Distribution### When It's UsedThe F distribution is used for:- Comparing two variances (F-test)- ANOVA (comparing means of multiple groups)- Testing overall significance in regression- Comparing nested models### The DistributionThe F distribution is the ratio of two chi-square distributions:$$F = \frac{\chi^2_1 / df_1}{\chi^2_2 / df_2}$$- $df_1$: numerator degrees of freedom (between-groups)- $df_2$: denominator degrees of freedom (within-groups or error)```{r}#| label: fig-sampling-f-dist#| fig-cap: "F distribution for different combinations of numerator and denominator degrees of freedom"#| fig-width: 8#| fig-height: 5x <-seq(0, 5, length.out =200)plot(x, df(x, df1 =1, df2 =10), type ="l", lwd =2, col ="red",xlab ="F", ylab ="Density",main ="F Distribution",ylim =c(0, 1))lines(x, df(x, df1 =5, df2 =10), lwd =2, col ="blue")lines(x, df(x, df1 =10, df2 =10), lwd =2, col ="darkgreen")lines(x, df(x, df1 =10, df2 =50), lwd =2, col ="purple")legend("topright",legend =c("F(1,10)", "F(5,10)", "F(10,10)", "F(10,50)"),col =c("red", "blue", "darkgreen", "purple"),lwd =2)```### Understanding F in ANOVAIn ANOVA, F is the ratio of between-group variance to within-group variance:$$F = \frac{MS_{between}}{MS_{within}} = \frac{\text{Signal}}{\text{Noise}}$$- Large F: Groups differ more than expected from random variation- F ≈ 1: Group differences are similar to within-group variation```{r}#| label: fig-sampling-f-anova#| fig-cap: "F distribution with df1=3 and df2=20 showing the rejection region for a one-way ANOVA at α = 0.05"#| fig-width: 7#| fig-height: 5# Visualize rejection region for ANOVAx <-seq(0, 6, length.out =200)y <-df(x, df1 =3, df2 =20) # 4 groups, total n = 24plot(x, y, type ="l", lwd =2,xlab ="F", ylab ="Density",main ="F(3, 20) Distribution for One-Way ANOVA")# Critical value and rejection regionf_crit <-qf(0.95, df1 =3, df2 =20)x_reject <-seq(f_crit, 6, length.out =50)polygon(c(f_crit, x_reject, 6), c(0, df(x_reject, 3, 20), 0),col =rgb(1, 0, 0, 0.3), border =NA)abline(v = f_crit, lty =2, col ="red")text(f_crit +0.3, 0.3, paste("F* =", round(f_crit, 2)), col ="red")text(4.5, 0.05, "Rejection\nRegion\n(α = 0.05)", col ="red")```### Critical Values Table```{r}# F critical values for α = 0.05 (common ANOVA scenarios)# Rows: numerator df (groups - 1)# Columns: denominator df (total n - groups)df1_vals <-c(1, 2, 3, 4, 5)df2_vals <-c(10, 20, 30, 60, 120)f_table <-outer(df1_vals, df2_vals,function(d1, d2) round(qf(0.95, d1, d2), 2))rownames(f_table) <-paste("df1 =", df1_vals)colnames(f_table) <-paste("df2 =", df2_vals)cat("F Critical Values (α = 0.05)\n")print(f_table)```### R Functions```{r}# F distribution functionsqf(0.95, df1 =3, df2 =20) # Critical F for ANOVA1-pf(3.5, df1 =3, df2 =20) # p-value for F = 3.5```## Relationships Between DistributionsThese distributions are mathematically related:```{r}#| label: fig-sampling-relationships#| fig-cap: "Mathematical relationships between the normal, chi-square, t, and F distributions"#| echo: false#| fig-width: 9#| fig-height: 6par(mar =c(1, 1, 2, 1))plot(1, type ="n", xlim =c(0, 10), ylim =c(0, 7), axes =FALSE,xlab ="", ylab ="", main ="Relationships Between Sampling Distributions")# Boxesrect(3.5, 5.5, 6.5, 6.5)text(5, 6, "Normal\nZ ~ N(0,1)", font =2, cex =0.9)rect(0.5, 3, 3.5, 4)text(2, 3.5, "Chi-Square\nχ² = ΣZ²", cex =0.9)rect(6.5, 3, 9.5, 4)text(8, 3.5, "t Distribution\nt = Z/√(χ²/df)", cex =0.9)rect(3.5, 0.5, 6.5, 1.5)text(5, 1, "F Distribution\nF = χ²₁/χ²₂", cex =0.9)# Arrowsarrows(4, 5.5, 2.5, 4, length =0.1)text(2.5, 4.8, "Square\n& sum", cex =0.7)arrows(6, 5.5, 7.5, 4, length =0.1)text(7.5, 4.8, "Divide by\n√(χ²/df)", cex =0.7)arrows(2, 3, 4, 1.5, length =0.1)arrows(8, 3, 6, 1.5, length =0.1)text(3.5, 2, "Ratio of\nχ² values", cex =0.7)# Special casetext(8.5, 2, "t² = F(1,df)", cex =0.7, col ="blue")```Key relationships:1. **t² = F(1, df)**: A squared t-statistic follows an F distribution with 1 numerator df2. **χ² → Normal**: As df increases, chi-square approaches normality3. **t → Z**: As df → ∞, t-distribution becomes standard normal4. **F(1, ∞) = χ²(1)**: Limiting case of F distribution## Choosing the Right Distribution| Test | Distribution | Degrees of Freedom ||:-----|:-------------|:-------------------|| Z-test (known σ) | Normal | N/A || One-sample t-test | t | n - 1 || Two-sample t-test | t | n₁ + n₂ - 2 (pooled) || Paired t-test | t | n - 1 || Chi-square GOF | χ² | k - 1 || Chi-square independence | χ² | (r-1)(c-1) || One-way ANOVA | F | k-1, N-k || Regression F-test | F | p, n-p-1 || Regression coefficient | t | n - p - 1 |where k = number of groups/categories, n = sample size, p = number of predictors## Degrees of Freedom: Intuition**Degrees of freedom** represent the number of independent pieces of information available for estimation. They decrease when we estimate parameters from the data:- **Sample mean**: Uses 1 df → leaves n-1 for variance estimation- **Two groups**: Estimate 2 means → lose 2 df from total- **Regression**: Estimate p+1 coefficients → leaves n-p-1 error df```{r}#| label: fig-sampling-variance-precision#| fig-cap: "Sampling distributions of sample variance for different sample sizes, showing increased precision with higher degrees of freedom"#| fig-width: 8#| fig-height: 5# Demonstration: Why df matters# Sampling distribution of sample variance with different nset.seed(42)true_variance <-100simulate_s2 <-function(n, reps =5000) {replicate(reps, var(rnorm(n, mean =0, sd =10)))}s2_small <-simulate_s2(5) # df = 4s2_medium <-simulate_s2(20) # df = 19s2_large <-simulate_s2(50) # df = 49par(mfrow =c(1, 3))hist(s2_small, breaks =30, main ="n = 5 (df = 4)",xlab ="Sample Variance", col ="lightblue", xlim =c(0, 400))abline(v =100, col ="red", lwd =2)hist(s2_medium, breaks =30, main ="n = 20 (df = 19)",xlab ="Sample Variance", col ="lightblue", xlim =c(0, 400))abline(v =100, col ="red", lwd =2)hist(s2_large, breaks =30, main ="n = 50 (df = 49)",xlab ="Sample Variance", col ="lightblue", xlim =c(0, 400))abline(v =100, col ="red", lwd =2)```With more degrees of freedom:- Variance estimates are more precise (narrower distribution)- More likely to be close to the true value- Critical values move closer to their limiting values## Summary| Distribution | Parameters | Mean | Use For ||:-------------|:-----------|:-----|:--------|| Normal (Z) | None | 0 | Means (known σ), proportions || t | df | 0 | Means (unknown σ), regression || Chi-square | df | df | Frequencies, variance, GOF || F | df₁, df₂ | df₂/(df₂-2) | ANOVA, comparing variances |Remember:- More data (higher df) → distributions approach their limits- The t approaches Z, χ² becomes symmetric, F becomes more peaked- Heavier tails in t and F require larger critical values for small df- These distributions assume normality of underlying data (robustness varies)